Pertemuan 17 : Volume Bidang Putar Dengan Metode Kulit Tabung
Assalamualaikum, pada blog post kali ini akan membahas materi tentang volume bidang putar seperti pada pembahasan sebelumnya. Namun kali ini menggunakan metode kulit tabung.
1. Definisi Metode Kulit Tabung
Metode kulit tabung merupakan salah satu teknik integral tentu yang digunakan untuk menentukan volume bidang putar yang berbentuk kulit tabung. Metode kulit tabung, merupakan metode yang lebih mudah digunakan untuk menentukan volume benda putar yang dibatasi oleh satu kurva maupun dua kurva. Di mana pengambilan piasnya sejajar dengan sumbu putarnya.
sketsanya :
Berdasarkan sketsa tersebut, maka didapatkan volume kulit tabung sebagai berikut
2. Menentukan Volume Bidang Putar Dengan Metode Kulit Tabung
untuk sumbu putarnya horizontal atau pada sumbu x
untuk sumbu putarnya vertikal atau pada sumbu y
Contoh soal :
1. Dengan metode kulit tabung, tentukan volume dari benda putar yang dibatasi oleh : y = x^2 + 1, y = 0, x = 0, dan x = 1 jika sumbu putarnya adalah sumbu y
penyelesaian :
sketsa yang didapat :
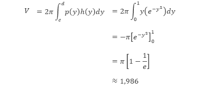
dan sumbu y= 0 dan y=1 dengan sumbu x sebagai sumbu putarnya.
penyelesaian :
sketsa yang didapat :
dari sketsa tersebut dapat ditentukan bahwa batas atas adalah 0 dan batas bawah adalah 1 maka volumenya adalah :
untuk latihan soal dan jawabanya bisa dilihat disini
Terimakasih, sampai jumpa di blog selanjutnya 😊









Komentar
Posting Komentar